工程預測焊點疲勞壽命
- 2016-04-27 13:17:00
- Peter J.Heyes, Mikael 原創
- 9731
在汽車工業中,點焊被廣泛地用于零部件和結構的制造。點焊構件的耐久性主要取決于焊點的疲勞強度。在一條生產自動線上裝備一個焊點的點焊機械裝置可能需要30萬美元,為了補救某一問題而必須在生產時再增加一個點焊裝置,其費用可能不止2倍。如果我們能在設計的早期預測焊點的疲勞壽命,那么顯然這些費用可以降到最低點。更有意義的是,它也有助于縮短產品的開發周期,提高產品的質量。
Smith和Cooper用斷裂力學方法研究過受剪切載荷焊點的疲勞壽命預測問題。他們指出:“一個焊點也許可以被認為是一個外表面有一環向深裂紋的實心圓棒,當這一圓棒受一個Ⅰ—Ⅱ復合型載荷時,它會在最大的局部Ⅰ型方向產生分叉裂紋并擴展”。他們說明了根據計算的裂紋擴展速率可以較好地預測焊點的疲勞壽命,并用他們的計算結果作出一些簡單的設計曲線。Smith和Cooper所建議的方法基于對簡單受剪搭接接頭的有限元模擬,這種方法需要進一步的發展才能用于其它不同的焊點型式,處理變幅異相復雜載荷。發展的結果可能是一個簡單的專門針對焊點的規范,按照英國標準BS7608的方法,給出適用于不同點焊類型的載荷—壽命曲線族。
事實上,關聯不同加載條件下焊點的疲勞強度,載荷是一個相當糟糕的參量。Raji和Sheppard提到,不同型式受不同載荷的焊點,它的疲勞耐久性能夠通過分析板內焊點周邊的局部應力得到更好的理解,這一局部應力指的是焊點附近的結構應力。Rupp等人描述了如何計算這些結構應力。他們根據最大應力、最小應力和一個載荷譜對焊點的疲勞壽命進行了預測。本文介紹的技術類似于Rupp等人的工作,不同的是進一步地將結構應力計算與應力縮放、疊加以及應用瞬態有限元分析結果等方法結合起來。下面將先介紹軟件的技術細節,然后給出兩個說明簡例。
1方法概述
方法要求將焊點模擬成為MSC/NASTRAN中的剛性梁單元;經這些梁單元傳遞的力和力矩被用來計算結構(名義)應力,這些應力為圍繞焊點熔核和連接板的局部應力;按照S—N總壽命方法,用這些結構應力預估焊點的疲勞壽命。
軟件系統由一些經過修改的MSC/FATIGUE模塊組成,它的核心為焊點疲勞分析器SPOTW,圖1表示了這一軟件的框架。該系統當前只支持兩板焊點的疲勞計算。焊點應當用連接兩板中面且垂直于這兩個中面的剛性梁表達,而板用位于板中面的殼單元模擬。焊點的長度因此是板厚之和的一半。焊點附近的網格不需要做任何細化,對殼單元的唯一要求是它們能將正確的力傳至剛性梁。事實上,使用大尺寸的殼單元(大于2倍的熔核直徑)似乎能獲得最好的結果,即最實際的連接剛度。
軟件的使用方式與標準的MSC/FATIGUE類似。通過填一組表格創造一個作業文件,這個文件包含了焊點的直徑、板厚和疲勞性能參數信息。有一個解讀器讀這個文件,從MSC/PATRAN數據庫中抽出所有的有關數據,寫到一個中間文件中去。焊點分析器根據這個中間文件以及所需的載荷信號和疲勞性能數據,對每個焊點做壽命預測。最后輸出2個計算結果文件,其中的一個文件為MSC/PATRAN的可讀文件。下面將給出有關疲勞計算的一些細節。
圖1焊點疲勞分析系統框圖
2.1結構應力計算
一個典型的焊點如圖2所示。陰影部分為焊核,在有限元分析中,它被模擬成一個剛性梁單元,連接兩塊板的中面。梁單元的長度為0.5(s1+s2),其中s1和s2分別為板1和板2的厚度。點3位于焊核中心線兩塊板的接觸位置,離點1的距離為0.5s1。所有的力和彎矩按圖示的梁單元坐標系取。
圖2典型焊點示意圖
圖3
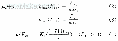
對于點1,板中內表面的等效應力為熔核周向位置角的函數,可寫成
σv1=-σmax(Fx1)cosθ-σmax(Fy1)sinθ+σ(Fz1)+σmax(Mx1)sinθ-σmax(My1)cosθ(1)
σ(Fz1)=0(Fz1≤0)(5)
即只有熔核軸向力中的拉伸分量對損傷有貢獻

(這一常數作為對彎曲應力梯度影響的補償);d為熔核直徑。所有的長度單位為mm;力的單位為N;力矩單位為N*mm。 點2的結構應力計算方程和點1基本類似,不再重復。
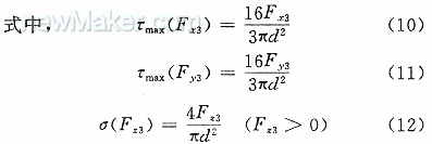
熔核中的應力計算有點不同。Rupp等人建議每隔10°計算多個平面上的正向應力,即用基于應力的臨界面方法,這意味著對于每個焊核需要進行648(36×18)次計算。顯然,這種方法計算量非常大。考慮到焊點一般不會因裂紋擴穿熔核而引起失效,除非焊核直徑與板厚相比很小,焊點的主要失效模式是裂紋穿透金屬板。筆者使用了兩種快速方法:一是忽略熔核失效的可能性;二是用MSC/FATIGUE中常用的絕對值最大主應力作為損傷參量,這種方法只需要做36次計算,其計算式為
τ=τmax(Fx3)sin2θ+τmax(Fy3)cos2θ(8)
σ=σ(Fz3)+σmax(Mx3)sinθ-σmax(My3)cosθ(9)
σ(Fz3)=0(Fz3≤0)(13)

(15)
2.2材料性能
軟件系統需要一組載荷比R=0條件下的S—N曲線,分別對應于焊核和金屬板。另外也需要平均應力敏感度系數和標準差參量。這些S—N曲線為專門的焊點S—N曲線,與常規的母材材料S—N曲線截然不同。這些S—N曲線的數學式可表示為
ΔS=SRI1(Nf)b1(16)
式中,SRI1(應力范圍截距)和b1(斜率)均為材料常數。上式適用于失效循環周數Nf小于過渡壽命Nc1的情況。如果Nf>Nc1,那么應該用第二斜率b2。對于每一個循環,平均應力可按下式修正,即計算R=0時的等效應力幅度
(17)
Rupp等人描述了對應于鋼板和焊核的通用S—N曲線,數據有一個相當寬的分散帶,部分反映了這些數據代表了多種鋼板中的焊點,既有中強鋼也有高強鋼。如果只對某一特定材料,分散帶可能會窄一些。
2.3損傷計算
損傷計算在兩塊板和焊核中沿著焊點的周向以10°的間隔進行,因此,對于每個焊點,共108個疲勞計算。通過靜態放大疊加一組靜態載荷結果,或通過瞬態有限元分析計算力和力矩;使用上面介紹的公式從力和力矩中計算每個計算點的有效應力變化;然后用雨流循環計數技術獲得范圍—均值直方圖;最后根據直方圖及Miner損傷累積規則計算疲勞損傷。結果輸出為兩個文件:一個是MSC/PATRAN 2.5 .els文件,用MSC/PATRAN可以對它進行后處理;另一個為ASCII文件,它包含了更為詳細的結果,可用SPOTW進行后處理。
本文描述的方法計算量較大,計算時間基本上和載荷譜中的數據點數目成比例,因此,有效地過濾載荷輸入能夠節省大量計算時間。
3計算簡例
3.1實驗室用試件
圖4H型實驗室點焊試件
圖5H型試件有限元模型
這些試件的載荷—壽命曲線用上面介紹的分析軟件進行預測。計算所用的焊點S—N曲線為ST1403材料的焊點曲線,其板厚介于0.66~2.5 mm之間,焊點熔核的直徑變化范圍為3.5~6.5 mm。圖6比較了試驗和計算結果,計算結果對應于3個不同的成活率。
圖6計算結果與試驗結果比較
圖7焊點極坐標損傷圖
圖8T型梁試件的有限元模型
它由厚度為1和0.8 mm的薄板組成。該梁的有限元網格如圖8所示,梁的兩端固定,在垂直端受x和z方向的載荷。表1列出了3種加載情況下的試驗結果和分析結果。分析中我們同樣使用LBF給出的焊點通用S—N曲線。
上面的分析比較表明,試驗結果與分析結果的關聯似乎是合理的,分析結果比試驗結果要保守一些。
表1T型梁試件的預測壽命和試驗結果比較
載荷(N) 試驗壽命(循環周數) 預測壽命(循環周數)
F(x)變幅=157.5 R=0.1 460 000 536 300
F(z)變幅=503 R=-1 70 000 35 024
F(z)變幅=400 R=-1 290 000 134 500
4結語
本文描述的焊點疲勞壽命預估軟件系統主要基于德國LBF實驗室Rupp等人的工作,是德國LBF疲勞實驗室、英國nCode和美國MacNeal-Schwendler公司的一個合作成果。通過有限元靜態載荷分析或者瞬態分析,結合應力簡化計算,它能計算實際載荷工況下的焊點疲勞損傷。軟件具有良好的用戶界面,它能方便地幫助分析人員判斷壽命最短的焊點位置。當前這一系統已經用于汽車底盤、懸架系統以及車體的耐久分析。但是這一技術還需要進一步的、廣泛的試驗驗證。
(end)
相關文章
- [焊接技術] 螺柱焊機焊不住螺柱焊這是為什么? 2020-09-04
- [焊接技術] 如何提高螺柱焊接工藝水平,進行優質螺柱焊接生產 2020-07-23
- [焊接技術] 螺柱焊接中焊接效果不美觀的技術分析與解決辦法 2020-07-23
- [焊接百科] 中通客車首創焊接標準示范體系 2019-08-26
- [焊接百科] 螺柱焊在車身焊接工藝中的應用研究 2018-11-24
- [行業資訊] 螺柱焊接技術介紹 2018-10-15
發表評論
社區新帖
- GBT 19867.4-2008 激光焊接工藝規程.pdf 2019-12-25
- GBT 2652-2008 焊縫及熔敷金屬拉伸試驗方法.pdf 2019-12-25
- GBT 16672-1996 焊縫-工作位置-傾角和轉角的定義.pdf 2019-12-25
- GBT 16745-1997 金屬覆蓋層產品釬焊性的標準試驗方法.pdf 2019-12-25
- GBT 17853-1999 不銹鋼藥芯焊絲.pdf 2019-12-25
- GBT 15169-1994 鋼熔化焊手焊工資格考核方法.pdf 2019-12-25
- GBT 15579.5-2005 弧焊設備安全要求 第5部分 送絲裝置.pdf 2019-12-25
- GBT 15579.7-2005 弧焊設備安全要求第7部分:焊炬(槍).pdf 2019-12-23
聯系我們
| 聯系人: | 韓玉琦 |
|---|---|
| 電話: | 0755-26013200 |
| 傳真: | 0755-26013188 |
| Email: | saw@sawchina.cn |
| QQ: | 2280915288 |
| 微信: | 18682260315 |
| 旺旺: | szhbkj |
| 地址: | 東莞市鳳崗鎮東深路鳳崗段206號天安深創谷W2棟誠信大廈21樓 |

